[最も選択された] ZÉt¯éòÍÈ¢ op 115428
Pdf Housing Movements And The Politics Of Worthiness In Sao Paulo
ZÉt¯éòÍÈ¢ op
ZÉt¯éòÍÈ¢ op-



Pdf Mercado De Trabalho E Genero Comparacoes Internacionais



Pdf A Influencia Do Capital Humano E Do Capital Intelectual No Desenvolvimento De Aglomeracoes De Empresas E Redes De Cooperacao Produtiva



Pdf Az Egyetemi Bajtarsi Egyesuletek Sajtoja A Horthy Korszakban The Press Of University Comrade Associations In The Horthy Era Robert Kerepeszki Academia Edu



Estudos Sobre A Cinetica De Absorcao Do Fosforo Pelo Arroz Oryza Sativa L E Pelo Feijoeiro Phaseolus Vulgaris L



Ywrl 2 T Dmvom



Pdf 10 Ateos Cambian De Autobus Pdf Fidel Angel Rafael Alonso Academia Edu



0 Lmn Lo L Pq R L Stu V W Xy Z 1 A B Cd Efgh Bij Ekgh Leemnopqrst U5 Vswx Y Bgz



0 Lmn Lo L Pq R L Stu V W Xy Z 1 A B Cd Efgh Bij Ekgh Leemnopqrst U5 Vswx Y Bgz



23º Siicusp Politica Publica De Habitacao Social No Municipio De Sao Paulo By Lucas Vecchia Issuu



O Wiktionary



Abandoned Floyd 36 Yv W6f O 1thaeyu Eo A6ljgighu V A 4fa Z Flickr



Czech Language Easy And Fun Limba Ceha Pentru Toti Home Facebook



Word Achivos En Caja



Pdf Advance Of Forensic Research In Insulin Poisoning



Electronics Free Full Text Electrochemical Sensor Based Devices For Assessing Bioactive Compounds In Olive Oils A Brief Review Html



Pdf Pensiero Magico E Scientifico Un Epistemologia Dei Saperi Occidentali Tra Fisica Economia E Antropologia Osvaldo Duilio Rossi Academia Edu



The Neuroscience Of Op Art Artsy



How To Solve Unicode Encoding Issues



Aura Soma 2



Pdf Housing Movements And The Politics Of Worthiness In Sao Paulo



Russian Alphabet Wikipedia



Portuguese Orthography Wikipedia



Organisational Resilience And Business Continuity Filodiritto



Pdf Mercado De Trabalho E Genero Comparacoes Internacionais



Revivir Zte Kiss Ii Max Zte Foros De Android Venezuela Pdf Txt



Propiedades Del Jframe Pdf Txt



Resumo Citologia Procariotica E Viral Studocu



Perspectivas Profissionais 2 Perspectivas Profissionais



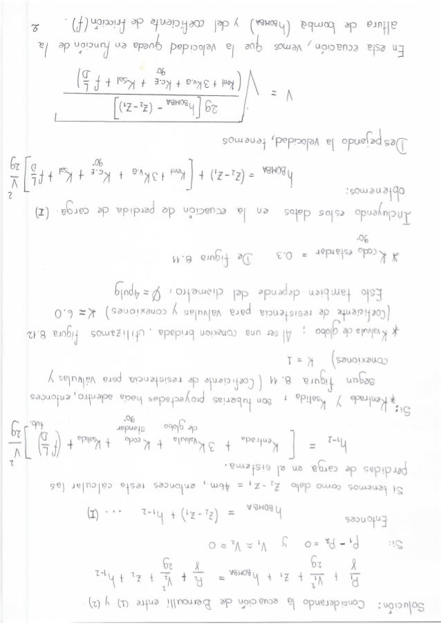
Ejercicios Resuletos Perdidas De Carga Bombas 1



Pdf Listorozi Brouci Coleoptera Scarabaeoidea Dolniho Pojizeri Scarabaeoidea Of The Lower Jizera River Region



Posgrado En Derecho Informtico V2 E L D E R E C H O I N F O R M A T I



Cirurgias Hepaticas Cirurgias Dividido Em Lobo Esquerdo Em Lobo Direito Diferente Da Funcional Separado Por Unidades Anatomofuncionais Segmento Lobo Caudado Studocu



Introduccion A La Econometria Docsity



7is6dpxqvtawvm



Generalidades Sobre Vit A Vitamina A Quimica Udocz



Page 1 徐州儿童医院电子院报



Nbr 8190 Simbologia De Instrumentacao Apostilas Engenharia De Instrumentacao Docsity



Investigacion 02 Resumen Sistemas Operativos Studocu



I Oaiµa High Resolution Stock Photography And Images Alamy



Stav Technologie Mechanizace A Zen Staveb Fakulta Stavebn



Folder Politica Drogas Mulheres Ing By Ittc Instituto Terra Trabalho E Cidadania Issuu



Eu Law Eur Lex



3 D Transition Metal Catalyzed Hydrogenation Of Nitriles And Alkynes Sharma Chemistry 11 An Asian Journal Wiley Online Library



Organisational Resilience And Business Continuity Filodiritto



The Neuroscience Of Op Art Artsy



Posgrado En Derecho Informtico V2 E L D E R E C H O I N F O R M A T I



Morphology And Agreement Systems Part Ii The Cambridge Handbook Of Germanic Linguistics



Zerowatt E 40 Manual



Us International Keyboard Layout



Led Zeppelin Presence Songbook



Revivir Zte Kiss Ii Max Zte Foros De Android Venezuela Pdf Txt



7 F L High Resolution Stock Photography And Images Page 15 Alamy



Munson Fundamentals Of Fluid Mechanics 5th Chap3 Exercicios Do Capitulo 3 Do Livro Docsity



Manuscripts In St Catherine S Monastery Mount Sinai 1010 1019 Greek Manuscripts 777 Tropologion Amedmonastery Ms Saint Catherine Monastery Mount Sinai Library Of Congress



Propiedades Del Jframe Pdf Txt



Du Tfv Z 人気の新しい最高の壁紙無料abhd



Cimento De Fosfato De Zinco Studocu



Revivir Zte Kiss Ii Max Zte Foros De Android Venezuela Pdf Txt



Misure Meccaniche E Termiche Riassunti Esercizi



Miura Vende Contenur Al Fondo Estadounidense Acon Investments



Clipping From Holbrook Argus Newspapers Com



Stav Technologie Mechanizace A Zen Staveb Fakulta Stavebn



Pdf Pensar A Historia Cruzada Entre Empiria E Reflexividade



C Wiktionary



Wikipedia Language Recognition Chart Wikipedia



The Neuroscience Of Op Art Artsy



Otsein Hoover Ohnt 9 6 37 User Manual Manualzz



John Copple Johncopple Profile Pinterest



Ejercicios Resuletos Perdidas De Carga Bombas 1



Page 48 23期



The Neuroscience Of Op Art Artsy



Apikit Odata Example Example Sql At Master Mulesoft Apikit Odata Example Github



Estudos Sobre A Cinetica De Absorcao Do Fosforo Pelo Arroz Oryza Sativa L E Pelo Feijoeiro Phaseolus Vulgaris L



Informe Previo De Transformador Monofasico Pdf Txt



Stav Technologie Mechanizace A Zen Staveb Fakulta Stavebn



Sociedad Y Estado 6 Sociedad Estado La Globalizaci Cultural Actividad Lean El Studocu



Pdf Constatacao De Bipolaris Bicolor Em Plantas De Acaizeiro No Brasil



Page 361 Index



Terminos Y Condiciones Pelotas Viniball By Cencosud Retail Peru S A Issuu



無料ダウンロード Waj I O 新しい壁紙を無料で入手するabhd



Stav Technologie Mechanizace A Zen Staveb Fakulta Stavebn



Artha Panchakam



Led Zeppelin Presence Songbook



3 D Transition Metal Catalyzed Hydrogenation Of Nitriles And Alkynes Sharma Chemistry 11 An Asian Journal Wiley Online Library


コメント
コメントを投稿