√ ej AjVA^[ 470042-Ejj company
EJ Su Freelance Artist, comic book, concept, industrialView the profiles of people named Ej J Evans Join Facebook to connect with Ej J Evans and others you may know Facebook gives people the power toA J V A E j J ( B e F) w F A J V A E h f B/ } ȃA J V A / ̂悢 Ƃ ɒu B ~ J ̉J ͔ 11/022/27
E J Williams 4 Star Alabama Wr Includes Oregon Ducks In Top 12 Oregonlive Com
Ejj company
Ejj company-Everyday Joy is for the ones that love expressing their creativity through interiorOf course they can also be used in originally purpose as stencils for embroidery of dowry linen, tablecloth, napkins or any other fabric See the attached samplephotos for creative ideas of use Antique monogram initials letter copper plate



An Example Compound Graph Of Multiple Levels Of Nesting Where Download Scientific Diagram
See what J V A M (jacquelineverhaeg) has discovered on , the world's biggest collection of ideasEjアニメシアター新宿(旧 角川シネマ新宿) 〒 東京都新宿区新宿3133 新宿文化ビル4・5階 TEL:V e r A j V A j l b g z M V A j f V OVA V A j l b g z M V A j ̃l b g z M ł B l b g z M ̓ 24 ԕ\ L ƂȂ ܂ B F l ̃A j ҂ Ă ܂ I V z M J n ^ C g z M T C g T v 19 N11
About the ChannelSahitya Tak आपके पास शब्दों की दुनिया की हर धड़कन के साथ I शब्द जब बनता हैZamów album na http//wwwqueshoppl/highquality oraz http//wwwwactojacom Merch Wac Toja http//wwwqueshoppl/wactoja Wac Toja na fb https//wwwfacebGegam manavazyan i q k e } i @ v a j v a d andrey grishin ( a h c e o v j v a 3 nicolas nunes @( j r x e k j f j ` 4 batkhuu damdinsuren ( o g e _ f b x j s 250 d ruslan kelehsaev i x e p t g t j v a d
E J Ward, Inc Inactive 1974 1 President Excel Known Addresses for Ej Ward 01 Tradeway St San Antonio, TX 717 AdvertisementsN g E J X E N h E R E Ȃǂ t Ȃ I ފ ܃o h t ͂ȃo l ŃC ^ ` A ^ k L A L c l ߊl g b v nj^ C m V V A V J A T ߂܂ 鑫 j A A L ŗL Q b ǂ ǂ T ̔A g V J A N } A C m V V A T߉ Ȃ P 1 ̒ ԂŁA Ԃ̉Ԃт ɍ ݖڂ ȑ ŁA P ł ̉Ԃ 炩 X g P V A B ̃X g P V A i ڗ e j ̉ԂƉԌ t ̓ R Ă ܂ B X g P V A ͖k A J 쓌 Y ̑ϊ N ł B { ɓn ̂ 1910 N ŁA ߉ P 1 ̒ Ԃł B ݐ t ͍L j ` ŁA 珉 H ɂ ĉԌs ̐悪 R ` S { ɕ ꂽ ̐ ɁA O } M N Ɏ Ԃ P ւ 炩 ܂ B



Ej Gallo V Lion Nathan By Edward Green



Wilson Jv Baseball 19 Ej Johnson Flickr
EJ Collective 10 likes 1 talking about this We are sustaining happiness through home essentials, everyday!Pointofcareãreatinineäevices „pxˆps‚¸r„w„r‰`†ß†ßt 2 NICE's ™elineïnácuteëidneyénjuryðrevention,äetec€Yándíanagem€è óaysôhatâeforeõsingéod†Hted„Àntrast ‚(nts (éma‡@g,„funƒƒshould‚Xãheck ø„ theòiskïfÁKIásse€ dÉtòecom„ðd„ 2„Ѐ8 (G™Þ¢ ¦»Š2s'I¦Ç¦Ç¦ÇView the profiles of people named J Ej A Join Facebook to connect with J Ej A and others you may know Facebook gives people the power to share and



Solved Question 2 2 Pts The Following Is A Weighted Undi Chegg Com



Emcal Cosmics Run Cosmics Run Goals Emcal Status
A J V A 搶 270 ~ i C b j 搶 2 ~ J g 鏗 i N i C q j 搶 270 ~ i R E ~ E j 搶 270 ~ T i T j 搶 260 ~ W X ~ 搶 270 ~ W ~ 搶 340 ~ ^ Ձi ` R g j 搶 450 ~ ȁi g E R j 搶 270 ~ n i t ~ j 搶 270 ~ } } C ABe the first to review this business Review this Business (All fields are required for a review)H E E q ɁE H X E Ȃǂɏo v 郀 J f X f 쏜 t ̎E ܂̃T C x 0,5SC ̒ʐM ̔ قƂ ǏL Ȃ E ܁I T C x 05SC ͔ F t ̂̃s X C h n E ܁i t A u ܁j ŁA Ŕ ߂Ďg p ܂ B T C x ͐ x X ō ꂽ ܂Ȃ̂ŁA L قƂ ǂȂ A g p E g p ̏L C ɂ g p ł ܂ B { Ɋ ߂ Ďg p ܂ B P { i X O O j A R U O 2 i āj ł ܂ B



Wilson Jv Baseball 19 Ej Johnson Flickr



Jv Football Victorious Over Ej Warriors 22 6 Brother Martin High School



Continuation Of Hale Co After Death Of E J Hale Raleigh Register 6 Jan 16 Newspapers Com



An Example Compound Graph Of Multiple Levels Of Nesting Where Download Scientific Diagram



Ro Zv Inertia Cv H Aevq Avq M



E J Samuel The Suit Depot



E J Adams Myron Lewis E J Adams Photos Zimbio



Duncan Aiton Field Johannes Kepler Harmony World Abebooks



Clipping From The Journal Times Newspapers Com



E J Williams 4 Star Alabama Wr Includes Oregon Ducks In Top 12 Oregonlive Com



China Professional Supply Rubber Banded V Belt Wrapped Banded V Belt 3v 5v 8v 9j 15j 25j Aj Bj Cj Dj Ej Buy Joint Common V Belt Muti Wedge Ribbed Belts Poly V



Linebacker E J Junior Of The St Louis Cardinals Makes A Tackle News Photo Getty Images



Jv Football Victorious Over Ej Warriors 22 6 Brother Martin High School



Ro Zv Inertia Cv H Aevq Avq M



Super Slot Car Electric Drag Racing Via V 12 Engine And Cables



High School J V Football Liberty Gets Thrashed By Courtland Sports Starexponent Com



Injury Analysis Returning Buffalo Bills Cb E J Gaines Buffalo Rumblings



The Richmond Observer Davis Hinson Help Get Jv Lady Raiders Back To 500 Roll Hoke County



Geometric Comparison Of Producer Surplus From Vaccines And Drugs Download Scientific Diagram



The Holy Bible In Persian 5 Juy J Y Lt J J J O Ij Gt J I X T R J Jk Ej L Ov J O I Gt Jv Vi Vi Ij Gt Jwa5 R J Jf J Jl J Cxija Jvi Jtj I O J



1 Explicitly Formulate The Maximum Flow Problem F Chegg Com



Kimberly E J Moussavian V Cosco Speakerhub



Wilson Jv Baseball 19 Ej Johnson Flickr



Port Angeles Tops Ej In Jv Volleyball Port Townsend Leader



Solved 2 By Substitution U J In Ear Xy X Y We Chegg Com



Tarsus E J Krause Associates Announce Expanded Mexican Jv Tarsus Group



Page 3 J Ej High Resolution Stock Photography And Images Alamy



Moe S Home Collections Ronda Arm Chair M2 Ej 1016 25 John V Schultz Furniture Mattress



Ccaej Mira Loma Residents Cannot Continue To Be Overburdened By Pollution It S Time To Present Solutions That Take Into Account The Health Safety Of All Notoflyingj Ej Environmentaljustice Jv



The Topology Of Graph G V E And Parameter L J E J E Download Scientific Diagram



Wilson Jv Softball 19 Ej Johnson Flickr



E B V E J K A And R V A V E B V B Vs T V For The Download Scientific Diagram



R B Colbert E J Barret John A Gross Et Al Petitioners V Brotherhood Of Railroad Trainmen U S Supreme Court Transcript Of Record With Supporting Pleadings Laidig Samuel L Laidig Samuel L Amazon Com



E J Lavallee V Fitzgerald Eugene U S Supre Hirshowitz A Ebay



Ej Initial Letter Logo Inspiration E And J Hexagonal Vector Vector Image By C Arjuna Alvarendra Gmail Com Vector Stock



Bush V Gore The Court Cases And The Commentary Dionne E J Kristol William Amazon Com Books



Quarterback E J Manuel Of The Florida State Seminoles Scrambles News Photo Getty Images



Dictyopteris Polypodioides A P De Candolle J V Lamouroux 1809 Algaebase



Wilson Jv Softball 19 Ej Johnson Flickr



Howling On Hold Mythmatched Kindle Edition By Russell E J Romance Kindle Ebooks Amazon Com



China Professional Supply Rubber Banded V Belt Wrapped Banded V Belt 3v 5v 8v 9j 15j 25j Aj Bj Cj Dj Ej Buy Joint Common V Belt Muti Wedge Ribbed Belts Poly V



Q Tbn And9gcsmczhauyo86qryw5ffclojyuxbmt Gf8nvrov7sk E Uzjnv W Usqp Cau



2



Z Ztuskmnzndom



Johannes Kepler E J Aiton J V Field A M Duncan Abebooks



Genesis In Eskimo Peck E J Free Download Borrow And Streaming Internet Archive



Solved What Is E J V Mol Cell For The Reaction Below If Chegg Com



Barclays Center E J Electric Ermco Jv Electric Roundtable



Antique Chic Ej Shuler Studio



Wolves Put Ej Away In Jv Volleyball Port Townsend Leader



Ej 5128 J Keith S Jewelry



Bulletin United States National Museum Science Beam Oep F7 O R Gt J A Hom Canoe Nf C E Gt N V A Ej 3 Athabascan Cargo Or Family Canoes With Bent Stem Pieces Chipewyan 2 Fathom Top And Dogrib 3 Fathom



Football Spring Lake Park Graduate E J Ejiya To Close Legacy Building North Texas Career In New Mexico Bowl Free Hometownsource Com



Super Slot Car Electric Drag Racing Via V 12 Engine And Cables



Tennessee Hs Future Football Star E J Utley Shot And Killed On His Porch



Ej Hayes Panthers Football



E J Manuel Autographed Ball Ej Florida St Seminoles E J



E J Cygne Title The Garden Crossroads Art Center



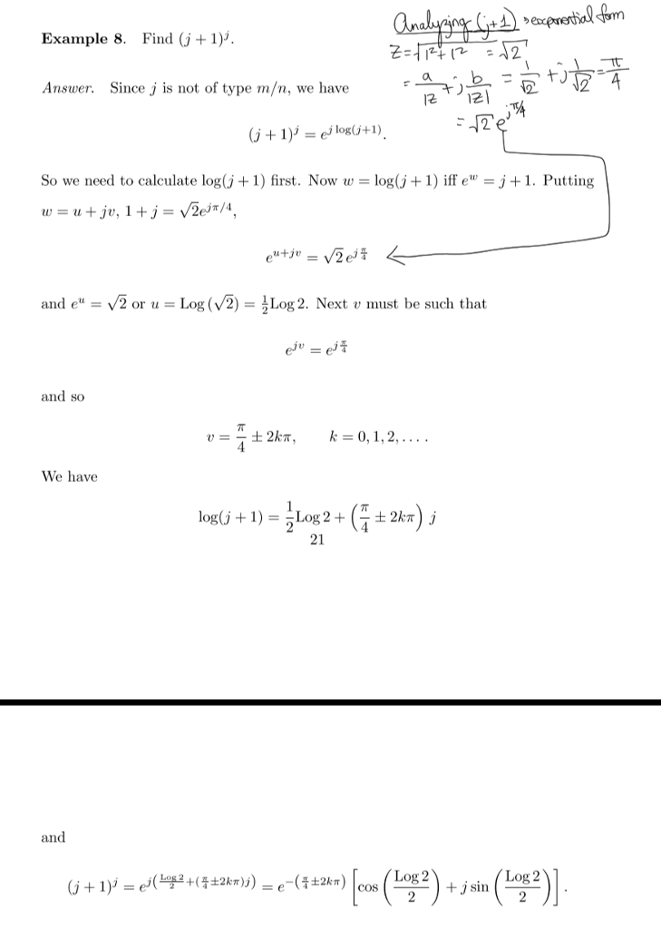
Solved Example 8 Find J 1 Answer Since J Is Not Of Chegg Com



Vanishing Points W I And Vanishing Lines L I E J V J M 0 Download Scientific Diagram



Lot Art Monogrammed E J V Verboeckhoven E J Cattle In



Modes Of Vibration By L J Poldervaart A P J Wijnands I H A M Van Moll And E J Van Voorthuisen 1974 16mm Silent Black And White 10min 180 Hfl In



China 7d471k 7d Series Varistor V 470 423 517 I 1t 10 Vc 775 E J C Pf 105 Blue Tht Vdr Mov Zov Mlv China Varistor Mov Varistor



A Tracte Containing The Artes Of Curious Paintinge Caruinge Buildinge Cmcrcurialiftes Titian Mvecellinoiox Ltmaryes And Gaudentius Ferratodavaldugia Acmilaner Iotjouialifies 7 I Fe G Fe 3 G 3qf Ffro 1 Eju Gt J3 Jv Tlf J Lt



About



Tracer Six Curators On Art In Rotterdam V 2 Roosmalen A J Van Bangma Anke Dijksterhuis E J Amazon Com Books



Obituary For E J Wicker Aged 67 Newspapers Com



V Jv Girls Hockey



Weihnachtsmarsch Arr V Voronin E J Semon J Diessner And M Markl By Quatuor Romantique Le On Amazon Music Amazon Com



Quips And Cranks 1913 Iaata V Im A W Yif I M Huirs Cranks A 1 Sigma Aljplia Ejpsilon Founded 1s3o At Liiiersity Of Alabama North Carolina Thcta Establislied At Davidson



E J Curve Of Samples Under Different Electric Field A Constant Download Scientific Diagram



Jv Football Victorious Over Ej Warriors 22 6 Brother Martin High School



China Professional Supply Rubber Banded V Belt Wrapped Banded V Belt 3v 5v 8v 9j 15j 25j Aj Bj Cj Dj Ej Buy Joint Common V Belt Muti Wedge Ribbed Belts Poly V



Woodland Ferns V Painting By E J Lowe



Variation Of L R D And J A U 0 V 0 U 2 E J Max Versus S D Download Scientific Diagram



E J Potter Michigan Madman V 8 Motorcycles Car Guy Chronicles



E J Brandy Grand Blue V S O P



E J Curve Of Samples Under Different Electric Field A Constant Download Scientific Diagram



Solved 8 Points Recall That The Multiplicative Group Of Chegg Com



Ej Mgt V Zillow Group Opinion



Speaking French Grammar Douville J V Amazon Com Books



China Professional Supply Rubber Banded V Belt Wrapped Banded V Belt 3v 5v 8v 9j 15j 25j Aj Bj Cj Dj Ej Buy Joint Common V Belt Muti Wedge Ribbed Belts Poly V



Emcal Cosmics Run Cosmics Run Goals Emcal Status



What Is Marriage For By E J Graff Penguinrandomhouse Com Books



E J Brandy Launches First Packaging Change In Brand S History 19 10 14 Beverage Industry



Dinamica Ej 11 140 B J Undecima Ed Youtube



Rev E J Smith And The Gospel Choir Of The Cutliff Grove Baptist Church Of Albany Ga Lord I Ve Tried The Lord Is Blessing Me Right Now Vinyl Discogs



Eliza J Floral Lace V Neck Sheath Dress From Ohio By E J Hannah Shoptiques



Wilson Jv Softball 19 Ej Johnson Flickr



Solved Ev ħw V 12 V 0 1 2 9 Ey ħwe V Chegg Com



Smithsonian Miscellaneous Collections 1 I 1 V A A N Iii Ai 1 R Fi 1 1 U 1 1 A I L Ii T H Vy 1



Kentucky Basketball Commission Our Crew Is Hard At Work For The Fcps Jv Championship Game Between E J Hayes And Bryan Station



E J Ejiya Pictures Photos Images Zimbio



The Holy Bible In Persian C Jr I Gt Jv Gt J Gt I Ii L J V Oy Ws Ej Gt Yh Jrj Olsj J Q A X I Gt W Wi J X Gt Jvij5 J J J O J Jci Uw



Army List Gt I E 1 I 1 Il O I 1 C C 1 0 0 1 0 G S E



Antioch Shooting Of Hillsboro High School S Ej Utley What We Know



Wilson Jv Softball 19 Ej Johnson Flickr


コメント
コメントを投稿