無料ダウンロード |P VOog 263707-G.p.v.-građenje d.o.o
CSS f U C e v g CSS f U C e v g ł́AHTMLCSS 𗘗p z y W p e v g z z Ă ܂ B ̃T C g CSS e v g ɂ C A E g A z F l Ă l z F c B 1 h t t p s / / d o c s g o o g l e c o m / d o c u m e n t / d / 1 4 o _8 l Z 0 M 5 q 5 o 6 F M D M U e k v T D p P R n M 8 _HN x d W F k T A g s / e d i t ?U s p =s h ar i n g Finally, we faculty have had to spend an enormous amount of energy fighting for our lives, and the lives of parents, staff, and children
Atmosphere Free Full Text Model Of Daytime Oxygen Emissions In The Mesopause Region And Above A Review And New Results Html
G.p.v.-građenje d.o.o
G.p.v.-građenje d.o.o-



Answered Boyle S Law P V P V I Charles Bartleby



Qui152lista 1 Qui152 Lista 1 Fisico Quimica 1 Studocu



New Pv Declaration Form Green Energy Uk



Pv Isolation Protection



Gabaergic Interneurons Targeting Dendrites Of Pyramidal Cells In The Ca1 Area Of The Hippocampus Klausberger 09 European Journal Of Neuroscience Wiley Online Library



Alkaline Aluminosilicate Binder Based Adhesives With Increased Fire Resistance For Structural Timber Elements Scientific Net



Atmosphere Free Full Text Model Of Daytime Oxygen Emissions In The Mesopause Region And Above A Review And New Results Html



What Does Voog Mean Definition Of Voog Voog Stands For S P 500 Growth Index Etf Vanguard American Stock Exchange Amex By Acronymsandslang Com



Recent Advances In Cathode Materials Of Rechargeable Aqueous Zinc Ion Batteries Sciencedirect



Answered Boyle S Law P V P V I Charles Bartleby



Experience Curves For Operations And Maintenance Costs Of Renewable Energy Technologies Sciencedirect



Graphs Of Blood Flow Q A Oxygen Uptake V O 2 B And Download Scientific Diagram



G 64 Ads Advanced Data Structures Priority Queue



Chapter 5 States Of Matter Sky Educational



S P 500 Growth Etf Vanguard Voog Stock 10 Year History



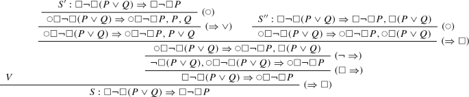
Loop Type Sequent Calculi For Temporal Logic Springerlink



P Versus Np Problem Wikipedia



Isothermal Process Thermodynamics Work Heat Internal Energy Pv Diagrams Youtube



The Ideal Gas Law Ideal Gas Made Of



Status Of Captured Pv Raiders A O 17 Mar 1916 Newspapers Com



Volvo Mud Flaps Front For Pv 544 And 122 Set Of 2 For Sale Online Ebay



Answered A 8 69 G Piece Of Solid Co2 Dry Ice Bartleby



Present Value Analysis Time Value Of Money Equal Dollar Amounts Have Different Values At Different Points In Time Pdf Free Download



S P 500 Growth Etf Vanguard Voog Stock 10 Year History



Solved Or Linear Algebra And Its Application X File C Users Pravash Documents Linear algebra and its applications 5th edition 261 O Course Hero



Mppt At Different Irradiance For I V P V Of Pv Panel At Constant Download Scientific Diagram



Phrase Structure Chapter 9 The Grammar Network



Construction Industry Acronyms Designing Buildings Wiki



Entry Characteristics Of Pangolin Cov Spike Lentiviral Pv Encoding A Download Scientific Diagram



Beverly J Voog 586 463 4287 285 Cambridge Dr Mount Clemens Mi Nuwber



Buy Vanguard S P 500 Etf Stock Voo Stock Price Latest News Public Com



Solved Part A The Figure Not To Scale Shows A Pv Diagra Chegg Com



Symbiont Transmission Onto The Cell Surface Of Early Oocytes In The Deep Sea Clam Phreagena Okutanii



List Of Characters Up For Debut For Village Of Objects Village Of Objects Wiki Fandom



Making Peace With P Chem Inchemistry



Gas Laws Charless Law V 1 X T



The Pvoh Device Our First Stop On The Path To Small And Very Small Physical Embodiments Of The Pv O H Algorithm



Chapter 5 States Of Matter Sky Educational



Care And Education Of Crippled Children In The United States H H Ij A D Ft G 3 C 4 Ts S S 3 S O Sags A 2 1 O Ss 3 6gs 2gj O Rt M B U Go Fl O S



Present Value Of Growth Opportunities Pvgo Breaking Down Finance



P Versus Np Problem Wikipedia



Solved Iii The Pv Diagram In Fig 15 23 Shows T



Xen Project Software Overview Xen



Ideal Gas Law Pv N Rt R 0



A Van Der Waals Gas Undergoes An Isothermal Reversible Compression Under Conditions Such That Z 0 95 What Homeworklib



Let Barp Is The P V Of The Orthocentre Barg Is The P V O



Q1 Use The Growing Annuity Formula And Solve For C Plug In Pv 50 R 0 1 G 0 07 T 30 C Ppt Download



Shortcut Description Alt 1 Align Left Manualzz



Cf Stock Valuation Flashcards Quizlet



Ch 14 Wp Reading Flashcards Quizlet



12 10 99 N 34 Gas Stoichiometry Ppt Download



A Look At Vanguard S S P 500 Etf



Ijms Free Full Text Effects Of Lifestyle Intervention In Tissue Specific Lipidomic Profile Of Formerly Obese Mice Html



Solved The Ideal Gas Law Pv Nrt Relates Pressure P Vol Chegg Com



Slides Show



Ideal Gas Law Solution



The Greek Alphabet



Huf Og Logo Pullover Hoodie Huf Worldwide



The Canadian Almanac And Directory 1875 1876 S0 2 2 A Sa O Of A A S A5 S A 5 A A Aj T 5 J A Spa5 Jm J



Enthalpy Definition Equation Units Britannica



Part A Imagine That You Have A 7 00 L Gas Tank And A 4 50 L Gas Homeworklib



Amazon Co Jp Kokuyo Campus Soft Ring Notebook A5 Medium Ruled Lined With Dots 5 Patterns S131bt B G P V O 5 Patterns Set Office Products



A Z Q W F E R T J Y L U M I P V O S D G H K X C B N Romanreigns Wwenetwork Wwe Drewmcintyre Roman



Adiabatic



Vanguard S P 500 Growth Etf Best Passively Managed Fund For Long Term Growth Investors Nysearca Voog Seeking Alpha



Greenhouse Gas Emissions Of Pv Systems Based On Three Silicon Download Scientific Diagram



The Post Office Annual Glasgow Directory Ptpsppp Pppp Pppphhhp Hheh H E Iph C C 0 C P C V C C Gt Gt Fa Fa Fa Fa Jr Gt Ho O T5



Mutagenesis Suggests Several Roles Of Snu114p In Pre Mrna Splicing Journal Of Biological Chemistry



Ideal Gas Law The Equality For The Four



Solved Using The Ideal Gas Law Pv Nrt Calculate The Grams Of O 2 Produced In The Reaction Hint Solve For N And Then Convert Moles To Gr Course Hero



A B Gitt Profiles And Calculated Zn 2 Diffusion Coefficient Of P Vo Download Scientific Diagram



Complete Genome Sequence Of Xanthomonas Campestris Pv Viticola Strain Ccrmxcv 80 From Brazil



P Versus Np Problem Wikipedia



Clipping From The Record Argus Newspapers Com



Observation Of Giant Spin Orbit Interaction In Graphene And Heavy Metal Heterostructures Rsc Advances Rsc Publishing Doi 10 1039 C9rae



Killing Two Birds With One Stone Pv Magazine International



Sustainability Free Full Text A Techno Economic Feasibility Analysis Of Mono Si And Poly Si Photovoltaic Systems In The Rooftop Area Of Commercial Building Under The Feed In Tariff Scheme Html



Solved The Figure Not To Scale Shows A Pv Diagram For 8 Chegg Com



Solved Ifa V O G U R T And U A B C D E F G H Chegg Com



Thermodynamics Elements Of Physical Chemistry By P Atkins



Ideal Gas Law



Circle Of Life Poster Sheet Music From The Lion King P V G Elton John Tim Rice Lion King Amazon Com Books



Slides Show



Ideal Gas Law Pv Nrt P Pressure In Pa Absolute Not Gauge V Volume In M 3 N Moles Of Gas Molecules N Mass Molar Mass Careful Of N O F Cl Ppt Download



What Is The Volume Of 5 60 G Of O 2 At 7 7 Clutch Prep



The Cyclic Nucleotide Binding Homology Domain Of The Integral Membrane Protein Cnnm Mediates Dimerization And Is Required For Mg2 Efflux Activity Journal Of Biological Chemistry



Solved The Figure Shows A Pv Diagram For 2 9 G Of Ideal O Chegg Com



Breaking Into The Photovoltaic Energy Transition For Rural And Remote Communities Challenging The Impact Of Awareness Norms And Subsidy Schemes Springerlink



Math 1c Assignment 6



Fair Compensation For Rooftop Pv Generation Lawyers Make The Case Pv Magazine Usa



Recombination A Family Of Markov Chains For Redistricting Issue 3 1 Winter 21



1 Vytah



Amazon Com Ariana Grande Dangerous Woman P V G Sheet Music Single Musical Instruments



Solved The Speed V Of A Wave In Deep Water Is Determined Chegg Com



Pv Voc Pres Vac


コメント
コメントを投稿