D g CXg ³¿ 242013
à Sõ ø t µ ó Ï U ¼ M 0#'d Ô ¼\ ø t Ø ° ¯ ° © $  á Ä ´ Ï â Ý Title ä 3t¦ »ßÊü 4 Author shokutaku1 Created Date 4/2/21 11E S $ ( b#Õ ² ( 7 _ 3 ` Û / x 3 *ñ l _ ¥ A q b2 ¨ x G p ¥&ì _ X 8 Z1  / W S G p q ³ î Ò c G p / S u b'ý /æ8í K S ~ É Û î » 8 B K S ~ M \ \D D ~ ³ x K ;
Www Freeport K12 Pa Us Userfiles 8 Classes 54 Free response pg 321 323 Pdf Id 6184
'D g CXg ³¿
'D g CXg ³¿-R ¤ / g Q v p Z ¨ R ³ Ñ u y Æ Â y J  v ~ ã è y l v d Ü J ä É Á Æ ¨ { Ø v H r ¤ ¤ J Ü J Ü ¥ J ¹ ¬G \ r S ö o ~ 7) ¢ v Q#Ý M Q R b2(#Ø H \ _ À o8 >/ Ç g M G \ í#'5 g9×>& ` #'5 l g p(á#'5 >' \ (Y g9× b!c #'5 b$ b ^ 8 ¥ µ u G } @ M´ K Z 8 G \ b& 1 & _/ G \ *Ë ( 4 _6õ M G \ í z õ m \ *Ë » m \ '¼ v )% M m \>& d>' 2x4# Å » m \ x ¥ Å » m \ b'ì



Answered Suppose That The Functions F And G And Bartleby
I a ¹ ½ y ü ¥ m ) Á i ° 4 t L ø ÿ ø a ¹ Á G ° ¹ ÿ m à ÿ t P ³ Y ² m ø m y !E » # È í ÿ !$ o ¢ ± þ Y ¢ ± « ¢ Y F o;
¢ G õ ¹ Î h b ë e r * Ç Òc " r V W ¶ g ó W Ç Òc " ec Ü È _ ¥ Ç Ò " ã 8 ü " Õ 7 ¶ õ ¹ d 6 Ç Ò " Õ 7c Ç Ò " ³ c 6 5 Ñc 6 5 r à n ^ à G Y 8 ü ° 6 / ð s Ã Ü 8 ü ) ° / ³ 6 5 à V $ Ñ ³ É } N ¶ , ¥ 6 } 4 â ½ / ð s ; ³ ® L g Ü $ ® Ü s ³ d < ï !Y ³ ² D ¬ w ° A x f w D Q U ~ ³ ` h T r O T ° A b O A s ¦ ª p K { 7 G u > Ì q 7 G z > Ì t S Z ³ ² w * ) ³ ² ¦ Á ) U E ¯ $ p K U f w ô T Q % p Q 6 q Q x G ü t ¬ q ^ o M s M { µ Í é Ý Ä æ t Æ 7 G u > s r ³ ² D Q t è ¹ ^ Ë Í $ ¦ ª q ` o w D ó Q U K
³ ¬ !ß 9æ ç G Á9Õ MD PhD Øé 9Ô 9Õ d Á% IÒáÊÛп 9Ý9Ú G d ±9æ u ± ) 9Þ9Ú G d ±9æ u ± ) 9ß9ÚØé 1M × ¸ ã 9æ ¬ ãùâæ d ö!ª"á" 9Õ9æ = ÿ 1M 59Ô1j&Ê 59Õ9æ ¥ 9Ù TEL 9æ FAX 9æ * P K ê% I # !³§ ã ÿY # !³§(*ó1M 1f1 1÷ " F " 9Ô û$ 9Õ ã Ä ô!c z G ³ Title 新規文書1 Author sugimoto_k Created Date 1/5/21 PMB J¼ L 9 Created Date AMµ e t q e t L o t é â t ò s © C ³ ² > ´ Ò ¡ Ô Ñ ½ > > K t Ð Ô ³ ² t ñ J t ñ Ó » ³ ÿ § ² Ï Ç r º r Ñ ½ Ò ÿ Ç ¡ Ô Ñ ½ g c â Ê t < y ³ ² Ñ ½



5 3 O 9 4 Pts Use The Chart To Find The Chegg Com



Answered Suppose That Functions F X And G X Bartleby
³ N p ¢ m r & N p ¢ 5 t a õ Ë y ª EV ± / ± N ± O ² ¸ ³ d =P ± £ ¯ v ±FAG ± a¿ ± º ± ° ô D ± f ± Y < 7 ÿ ¥ ± \é ´ ± ( ± e Z = f ¦1 ± x s ÷ ± n A ± ^y ±_ ø ß& ± ~ H o ¥ ¡ ± V à & ± ¤ ± \ø ¨ ± ¥ù ' ± áú ± ¢ ± ®k â ± g q ± J ² ( ±E < i K T ¹ » L L 5 8 J ` 9 N m ¢ b g @ k M = U X ³ ¥ 7 ´ ¦ ;



Lim X 2 F X G X B Lim X 0 F X G X C Lim X 1 F X G X D Lim X 3 F X G X E Lim X 2 X2f X F F 1 Lim X 1 G X Wyzant



Please Answer To The Question In The Figure Find Each Of The Following Functions Rx V5 X G X Vx2 4 A Fg State The Domain Of The Function Enter Your Answer Using
H e b b d g f > e @ d h b d > b d ;ä ³ N ´ f Y N ³ N ´ â g â 3 â ¢c c 8 d Ó ¹ c c Ó S ¢ ´ à ¦ Ó f ³ ¥ ô 0 ÙO º ´ !



Http Www Cusd80 Com Cms Lib6 Az Centricity Domain 2148 Q1 exam review 13 14 key pdf Pdf



Secure Media Collegeboard Org Digitalservices Pdf Ap Ap17 Calculus Ab Q6 Pdf
Q ¢ o d g o Û » o o â F o !Ü > þ S â 5 ¸ 6 º 7 ÿ Í e ?É P w K h h T G ~ t ` h Þ Ê Ä ï µ » æ ¿ ³ á s z $ Ã ² ï q Ö h Þ Ê Ä ï ¯ Ã É Ä { Å q x « ï Ä § å q s Ò å ¿ « { Þ Ê Ä ï w Ð « ½ ß Ñ è Ü æ h z ³ ï Ó ç s ° Ì w å ï U N q $ p b {Í w É P ò j ¢ ï Ò å ¿ « £



Gram Per Cubic Centimetre Wikipedia



Suppose That F 2 3 G 2 5 F 2 4 And Chegg Com
ø R v t { ³ Ú f 9 â s L n 7 !A theoretical design amount and an actual amount of joint movement are compared and analyzed, which are expected to be basis to modify the method estimating design movement amount of expansion joint ®Ý( w K _ D¸ G * b2 D® ³ A Study on Design Amount of Movement and Actual Behavior of Expansion Joint in Bridge P e ¯ ê % !



Stem Engine General Mathematics Operation On Functions Facebook



Www Songtive Com En Chords Guitar Drop D Gsus4
¤ ¥¯ Ü˶ßñÆyïy´ Ïs® ¦ s Sy® / Õ ÆÂ vE v U O q ÆÂ v Ê v 0 OTitle Microsoft Word 'Îð f!1t `³/ô1Jø Author ayumi Created Date PMM ¥ ¨ { n d g í ` q A d G W o r / ö V ¹ ` N Ù T ¹ æ d W / ö í V ¹ ` N Ù T à Q G â V s Ç à F Í !



Solve The Problem 5 Suppose That F X X 3 And G X Chegg Com



Metal And Additive Free Photoinduced Borylation Of Haloarenes Nature Protocols
Õ Ç ° Ñ ´ $ ¼ G Û ü e ¤ Ò Õ ³ ¦ Õ Ê ´ Ñ Ô !Y F X M W V U T S h g I f e d c Q P W V M U T Y F b a G ` Q _ M ^ \ Z Y F X M l k F j Z i h g I f e d c Q P l k a n o % # n m F j Z Z z y Q x w M G ` v u t s r a q p I H G F E D % G ` F t J F W V a n o Q P ~ M h P } { d c Q s r aº Ðä ¢G fº õ d 8 » ¸< û ¯ \ ò c h$< Ò Í c V Ò Í { Ò ³ ë¶©â c¶ h$ ¯øæ í ÿ e » !ä Ç { Ò ³ Ð d » P h #f¶ í ÿ !



Product Rule



The Graphs Below Have The Same Shape What Is The Equation Of The Blue Graph F X X G X A Brainly Com
O g g p ¦ É ¶ ½ C K ³ È e p Ê ð Ý è µ ½ D Ù ` Z O g ð } 4 É ¦ D } 5 } È ü iR 10m j V ~ V Ù ` Z O g F À 300mm È ¦ ¼ a FR 10 C000mmA ¹ y G ° r ³ ½ Ù y Q d r û E Ã m ¹ ÿ Ý t !I » ¹ 6 ´ ¼ 8 ¯ 9 f @ ã â / q ã l ä 0 H A Î" j º å E r g B æ J ç



Secure Media Collegeboard Org Digitalservices Pdf Ap Apcentral Ap15 Calculus Ab Q2 Pdf



View Question If G X 3x 3 4x 2 5 Find G 2
e þ Y !³ « d c ½ û / ³ P ¢ ³ « d c %c i £c Ëc G öc 9 è c Z C }c Á ¡ / ä ÿ Å í o % Y N h º ì ¹ Ö 0c / ³ ³ 0 ³ 0 0 & ì ` í / ïc / ³ ³ 0 h º ^ Y N N !c à ec \ 0c 9 c Û ¶c } ( 3c Ûc 5c 9 !c 6 6 ï U g È ó ³ o Ï ì í 0 ë / ³ Ö 0N g Å é ½ ß D O _ É ³ ç ³ ê él u ¼ X ê l « ¢ ½ ß b D ð m p ¯ â D x g ì ¯ ª ¨ Ä È ê l ½1 i D ¨ » R N © g Í C Ù ì ª l « ^ À à é n ® ò Æ È



Add And Subtract Polynomials Practice



Chain Rule
þ Y o â F od d ¯ ê h Ç g g þ ì ¾ & N !Y / ³ Ñ â ¢ # / ³ 6 5 {< k d f > d < a \ a ` n u _ ^ y w u p z t v p w y v w \ y p w p r q p z w t t v y x p w o v p u t s r q p o n m p c q \ s p b q t w 9 9 9 & ) # # 9 , ( & $ 9 ) ( & # ) &



Http Math Arizona Edu Cjewell 122b Handouts Derivativepractice Pdf



J J Allu G X El 4 Let F X X And G X 3x Chegg Com
ä ê Ú « d ^ N !X D ~ 7 ¯ à Ñ 3 ³ Þ Ý $ Þ È > Ñ ; g o ´d T ³ i T < Ù Ç « d Ä d û d ¯ ê ¯ ê Å K !



F X X X 1 G X X 26 The Functions F And G Are Chegg Com



Use The Graphs To Evaluate The Expressions Below A F G 2 B G F 1 C F F 0 D G G 3 Study Com
ì N û !D 4 } è ¥fÛg úg 3¸g fÑ$ h h h h f·h 3ûh fÙ$ h h h h h h h h b Ù ¡*ofÿf¸d d ¹3ûf·,â nf< 6fÂgggggwf·gvgegmgrfà h h h e g fë ²áh ³,¡ w7c v' ¦ » f¸ \fÂ,â nf< 6fà h h h h h h h h h h h h h h f·>Ì h h h ' #Ý8 fûfôfÔfö h h h h3h 0d n'¨hB " % d ! $ ( ) ' *, / 0 4 2 51 36 8 7 a;



Help Needed With Calculus Question Wyzant Ask An Expert



Http Parchmentcalc Weebly Com Uploads 1 1 5 3 Chapter 2 Ws Solutions Walton2 Pdf
D 4 } è ¥fÛg úg 3¸g fÑ$ h h h h f·h 3ûh fÙ$ h h h h h h h h b Ù ¡*ofÿf¸d d ¹3ûf·,â nf< 6fÂgggggwf·gvgegmgrfà b í Í ýgggkg grh fÈh h h h h h h h f³,¡ w ± ~#ëh h h h h0h!h(h h h h h h h h h h h h h f·g h"h h4h h h h h h h h h h h h h h h e g fë e #æ3¸h f p f·% % W d9 < = >?



G 5 D Guitar Chord 3 Guitar Charts Sounds And Intervals



Uncinariasis Hookworm Disease In Porto Rico A Medical And Economic Problem 3 3 T5 3 G 3 0 T 3 S T 3 Ft Ardiac Indi Knee
X ¦ Ñ È Õ ³ ¦ Ü ³ g æ ¸ Ó Ç ¤ Ü ¹ ¾ ± ° ° ¸ ¦ « ³ ² ª 0 Ê Ò Ð ¾ Î ú ´ ä g æ ´ ¯ ® Ï ¼ Õ ¦ ½ ¾ ¸ ~ Ð ¾ Î ú ¨ Ê V e Î & p Û ¼ Ê Ç ¨ ¨ ¦ ¸ ¦ Ð ¾ Î ú ¼ A L 7 v ® ´ c Ö ¢ Ô ¨ Ê ¦ ½ V ¾ ¸ ~ Ð ¾ Î ú ´ Ô V % ¸ ¨ Ê ì ä ) ä 3 ¢ ü Ð ¾ Î ú ì ä ¬ Y ¢ Ô c Ø Õ ¯ Ç ¨ ¨ ü м S i E ö Z ü ' k { ø V t i y Õ t G ¶ L ú D ¶ ° t d i ø 9 À H t 2 & i ø C r ÿ ¦ H Á ø m ¦ m E ì y ¥ Ý y ñ x 5 ´ ° ¶ P ú z & r D m t ø y E t ¹ g ?J Ü d = U ~ d = y Ü G ³ Ñ y d = z à r d } j k b ³ Ñ y _ d = v z O ê ö W C v u d } ³ Ñ z ü v H d DX ¤ * ¥ ê ö ³ Ñ j zDX ¤/7( ¥ ê ö ³ Ñ C d y Q l r v y Ç ß ¢ ñ y ß é Ç ê ¤ > ° 2 Ç ß é Ç ê



Determine The Value Of Each Of The Following A Chegg Com



Final Review
Z S Ñ Ç J í ì Õ J S ¾ Ü ³ Ö ¬ ¥ G Ý ¶ !V Á M F Ñ !An eligible applicant is considered to be someone applying as an international student, conforming to any of the conditions listed below (1) Those who have graduated from, or who expect to graduate by September, 15, from a University as defined in Article of the School Education Act (Act No 26 of 1947)



I F 1 X Or Inverse



Solved 10 1 Points Details Larpcalc10 1 8 007 Find The Following F X X2 G X 2x 3 A F G X B F G X C Fg X Course Hero
Lt & G â" "d 4*6 ²)ßAô © = úP¼ f © = Lt Ö Lt G â" "d 4*6 ² `*6 }5 Lt G â" "d 4*6 ²Eé)ß ³NþL 6 3 Lt G â" "d 4*6 ² µ Î Lt G â" "d 4*6 ² k £M 35 Ã Ä U( Ct 6 3 úF3OD 4ï kA Ä > Ñ Ø x 5 ý ¿ b․ Ê y Þ Ý $ ç ² ( ¿ b À n 2 x z à × × Y D Ó 3 ç ~ Þ È à î Á (D ä ;O©?E y C G ² C a Ü d } Õ ß ³*L { HL != õ'³ Ñv U O q LÕzÎy U)É ¸v 2" d < V L Õ z Î { d = y # Ø Ö < < y C G u a Ü d } y }nWly ½ L ð 8 è b j î ½ v T ^ s } o o L ° l s b q x10 > s b à 1 2 3 ² ¤ ¥ ß ³ y 2" ´ Ïv´\j Ìy, ¤ ¥ y 2"y Hð ¤ ¥« sr¤y Ê y, ö º G OvU\ 2"y©?



Http Abacus Bates Edu Etowne towne105reviewsoln Pdf



Osa Tunable 3d Dirac Semimetals Supported Mid Ir Hybrid Plasmonic Waveguides
û x ß 3 ´ à ü Ê à ¹ µ Ç Ë ª c < =*G ¨ ¶ á 4 ¸ Û T d F D á G ý ¹ Ì Á ;C Q » &Ï d T » ¢Q q V â m Sæ q d q c Q ¨Ñ ·Îs ë q dU Y W X & "7 & k % k W 3³ 'Ç 3 % %G à %C &ç &Û %G à &' a &Ï "4 O L &Ï &' W Û t P %G à &' a &Ë 'l O L &Ï &' W Û t P &ç & &' a &Ë !o O4³ Ä % !w W 4° § § !o P ' 'Ç 5h % , 03 $è h Û $Ó a O(S Pz w } %G # ' ) Û $Ó a ó S s & "3 W !û S W ³ l M z S « &' %' _ ) s !û 's X &ü s ÇFÇFÇF



If F X X 3 3x 4 And G Is The Inverse Function Of F X Then T



Quiz4
à Sõ ø t µ ó Ï U ¼ M 0#'d Ô ¼\ ø t Ø ° ¯ ° © $  á Ä ´ Ï â Ý Title ä 3t¦ »ßÊü 4 Author shokutaku1 Created Date 3G c d q r { z \ ¹g L i M à NPá Ó O a J â ã ä S z \ æ å æ å f ç ` è é G k o » K ë ê x y ` ì Ï í w ° l W Ó a J â ã ä S z î \ i v g j £ ð ï æ å x L J P Ü y S M e f ç pó o ô n ò Ó a J P L M p q r R V Q k ñ Z h x þ ÿ PU L M ° G ¹ i ^ ý ü k ` ñ Z h ³ \ G ` \ Z¡ z J » f S «j h } » S z j V ° ° à ` P ¡ ` \ Q g ª P \ 4 4 4 4 4 4 4ç ³ y I ú O d n û w A Ç V ÿ W d É æ × ) 6 ç Ù 0 ) h Ù / $ É Î ¹ x A ÿ W s t Ü ó ÿ d ¥ r í Y í !



Www Claytonschools Net Cms Lib Mo Centricity Domain 4 2 ap prob soln Pdf



Www Freeport K12 Pa Us Userfiles 8 Classes 54 Free response pg 321 323 Pdf Id 6184
X g è C ù À à @ D D ~ 8 $BNFSPO D r7BMVF #F %P ;X g è C ù À à @ D ;Z ³ î å0d d m m a ¨ @&g i s g \ 2Ã r < 4(2° 1 #ì)z l g4(2° &g _6õ m è ç>& Û ô>1>3 º)r# Ó í 0¿%, ç'¨>1 >' b m4 5 g k ¥ ¶ x í / k r k s d ä 4(2° º3û& p'Ç è0¦ $ ( >&kwws zzz polw jr ms urdg lu lu frxqflo wrxnlgrxurndqul lqgh kwpo>' >/>, 0 è w b 5 g 8 s k r m >&>0>'#ì



Quotient Rule



Secure Media Collegeboard Org Digitalservices Pdf Ap Ap17 Calculus Ab Q6 Pdf
C G C à ARCACHON (331) RCS, SIREN, SIRET, bilans, statuts, chiffre d'affaires, dirigeants, cartographie, alertes, annonces légales, enquêtes, APE, NAF, TVA$ à x g D ð V ³ n Ä ² 5 ý ;P ° _ È í ³ î Ò G p q ³ î Ò ) )Ê È í ³ î Ò c x ³ Û © 8 B K ç g ?



Www Sd308 Org Cms Lib Il Centricity Domain 3230 Mc test review key Pdf



The Proposed Mechanism For A Reaction Is 1 A G B G Clutch Prep
A Ä D * £ ¿ 8 ( } Þ Ý D KC j i l ;G G c Q b S _ è ñ Q B K ¸ t O Ë ° / ü ¸ t ³ ¥ À ü ¸ ´ ³ ¬ ¯ Ç ¬ ¨ ¹ _ X 8 Z M Ø 5 u Z0 1 K Z > A r M G G c G $ 0 Û « t § ¬ ¬ ´ ¯ t ´ ¬ ¯ ß Ç ¢ u p 6õ4 6 ± A



Sat Math Multiple Choice Question 615 Answer And Explanation Cracksat Net



Mazda Cx 3
X D ~ } r 8 Þ È r ³ Þ Ó î Ë ³ 5 È W × d º W * À Ô º I b a b À º W * Ô ñ I S × @ 3 5 ý Þ Ó h z I » î W û Ø Ý @ 7 L L éD y z ~ v ü n q O G ¿ y ô Ú r M } ( u i W ³ é v 2 d G ¿ ô Ú µ b ® Ä W u \ { ~ ª ¢ Ç ç ¢ ñ W Ö d i y O ~ U h s b q # \ Ø Ë O F õ S W M } ( u i W s v ~ G ¿ y ô Ú µ b ^ s Ö d ^ s z ~ ¸ y ³ é W E ^ d公司与江苏省优联检测技术服务有限公司签订了委 托合同,委托江苏省优联检测技术服务有限公司对本项目排放的废水、 废气和噪声进行监测,并编制建设项目竣工环境保护验收监测报告。 19年07月13日,由艾迪科食品(常熟)有限公司组织了本项目 的环境保护竣工验收会议,由设计、施工、环评文件编制单位、监理 单位



Anatomische Hefte Amp Mc O 7 I O O Beitrage Zur Vergleichenden Luitwiekelungsgeschiehte Etc 547 O R O G G N O N O Gt



Answered Find The Derivative Of Y F Bartleby
U n 9 z d = H v b j Î < n q U n 9 s r s y r ³ Ñ y _ d = v ¤ > ° d = ± s O O d ¥ W T s d y s b d } J Ü d = U ~ d = y Ü G ³ Ñ y d = z r W O r v y Ù Þ Ø ¶ r Ö d ³ Ñ y É E =ø â s Í P * t t f â â s Ê ¢ Õ Ç ° Õ µ Õ Ò Õ µ E v æ VG"7H Fé G Fà P'Ç d G") G G FëF¸ Z G" 3ÿ ìF¹ G FöFÝFï v æFþ2 $ P'ÇG"F¸ ² \Fû 6äFçF¸ m G F¹æ d G B D Q º à p ³ = ç , z H p ³ E > @ É 3 e = æ ÿ ê ß W>/ V 0b _ > E 4J7´ ¦ g* W 4J7´ d H 7 ¥H 7 Fþ 'à d 75 K GxG GNG 7 ÆFþ 'à d M ì4J7´ FÂFÚ ýFà o



Calculus Practicals Maxima And Minima Derivative



Let G X Integral From 0 To X F T Dt Where F Is The Function Whose Graph Is Shown A Evaluate G 0 G 1 G 2 G 3 And G 6 B On What Interval Is G
K õ ¹d 8c V U Ç e ¢ V U Ç e ` K !X P ¶ 7 × Y × D £ ¿ 8 ü à ( & á û è º D Þ a > < û ç × 3 $ à Á D Ê y Ñ ñ 8 Ë ³ Þ W à î D K ;D = z ³ Ñ y d = Ü v ~ ^ v m î r » Ï y ¦ ú y O e V y O Q r © ù Q y s b d } u U r z ³ Ñ y d = Ü v o O q h y ¸ è ¤ z ² è y © ù Î # Í d ^ s W M d } ¤ ¥ ê ¶ Á Æ © Ç ¤ ¥ Ü ³ 4 þ ¤ ¥177 Ó ¢ È ñ v Ü u G è ³



Rd Sharma Solutions For Class 11 Chapter 3 Functions Exercise 3 4 Free Pdf



For The Reaction 2a G B G C G D G Kc 10 12 If The Initial Moles Of A B C D Are 2 1 7 3 Moles Respectively In A One Litre Vessel What Is The Equilibrium Concentration Of A Sahay Lms
6 d G ³ c c Ç Î à o f Ç Ò û ` Ì & c « â 1 ¶ M à Y d s r Î g s ù γ T Ý ò !£ æ ¢ Ô D å Ô µ æ æ { b a Ð L 8 Á w Ä G Þ ý w å ) p q w ) x t ¦ G z ¤ y w  ò U § å w å ¤ y Ú ï ³ ã ï å) p x z ¶ É p q ² å T ¦ G ` o S z t j ô o M { å ) p w ¦ G ¬ x à q n ` h U z î ' ~



Cx Series Hazardous Area Limit Switches Honeywell



6 Evaluate Fleft Xright 4x27 See How To Solve It At Qanda
J Ü r ³ Ñ z g W Æ ´ v d = g è n j Î ¼ v x d = r X d } g Î ( c 8 U d = 3 n d Ö û z 8 U g è O d } u U g W # b j,' v ~ Ï í Ç u r ³ Ñ d = d v r j C u Ú E v o O q z g Ù y y d = v { J y Ò ¯ b d } ,' v ~ Ï í Ç u r ³ Ñ d = d v r j C u Ú E v o O q z g b j Î ¼ y r d = d ^ s s b d } g b j Î v ~ d\ b j s X v ³ Ñ v d d = ¤ > ° d = ± s O O d ¥ W T s d y s b h y Ö û v z À 5 I N b j ° î y U@ B D C E G I HKO M J N L Q P S U V X Y WZ \ ^ ` _ c f g q j k v x zw { } ~ ¢ ¤ £ ¡ § ¨ ¥ ¦ ª © « ¬ ® ° ² ¯ ± ³ ´ µ ¶ ¹ º ¸ » ¾ ¿ ¼ À ½ Â Á Ã Ä Å Ç



2



Hint X 3 A 3x 4 B 5x 4x C X2 1 D X X 5 E 7 Gauthmath
F æ ³ 8 Ú 0 g ) Q " f æ ³ ) V d Ó f æ ³ Ö 0 g Y N ³ N ´ â g â 3 â ¢c c 8 d Ó â Ó e c â Ó û c ý B æ O 0 $ æ " 0 c ô Tc Ö Td Ó â g ó â 0 !%' _ ) &ç &' 'Ç %G Ã & %D á &¯ ,³ 'Ü K 7 s ³ 's ,ó 4À ;* G ~ 0 Û ú a 1 È B H Ü É Ý ² < b 2 ß Þ ³ µ v 2 ¶ ;



The Function F Is Defined As Follows F X 4x 3 If X21 A Find The Domain Of The Function B Locate Any Intercepts Homeworklib



Find The Functions A F Compositefunction G B G Chegg Com



Announcement Of The Medical School O R L I H 01 H Co Co Undergraduate Courses Tabular View 87 1 H 1 Gt 4 1 A 1 Ia5 Co 3



A Uv Vis Diffuse Reflectance Spectra Of G C3n4 Moo3 X And Download Scientific Diagram



F X Log 3 X 5 And G X Log 3 X 1 Youtube



Www Songtive Com En Chords Guitar Drop D Gsus4



A Table Of Values For F G F And G Is Given X Chegg Com



Mmm Results Of A D G No X Nh 3 And N No X Nh 3 Emission Download Scientific Diagram



If F X Log 1 X 1 X A N Dg X 3x X 3 1 3x 2 Then F



Chord When You Re Drifting Mojave 3 Tab Song Lyric Sheet Guitar Ukulele Chords Vip



Let F And G Be Differentiable Functions Such That Xg F X F G X G X F G X G F X F Youtube



Cubic Root Epsilon Delta Proof Mathematics Stack Exchange



Composite Functions



0 5 Let F X X 3x 6x 11 G X N X If A F G Math



Algebra And Composition Of Functions Ppt Download



Use The Table To Evaluate D Dx F G X X 4 X 3 X 4 Chegg Com



Review For Precalculus Test 2 Functions Here Are Some Review



Solved If G 3 4 And H 3 1 Find F 3 For F X 5g X 3h X 2 A 19 B 17 C 23 D 25 Course Hero



Http Www Cs Uleth Ca Nathanng Courses Math4400 Hw3solsft Pdf



Solving F 4 Known F X G X G X F X 4x 3 8x G 0 F 0 0 And G X F X 4 Mathematics Stack Exchange



Web Northeastern Edu Suciu Math3150 Math3150 Fa14 Hmw3 Solutions Pdf



Chord Laat Me Jannes Tab Song Lyric Sheet Guitar Ukulele Chords Vip



Www Sfcollege Edu Assets Sf Admissions Files Placement Testing Materials College Level mathematics study guide Pdf



Www Humbleisd Net Cms Lib2 Tx Centricity Domain 3611 Answer review final exam fall Pdf



Www Southhadleyschools Org Cms Lib Ma Centricity Domain 11 5 4 Pdf



Solved The Graphs Of F And G Are Given A State



Www Math Iupui Edu Momran M118 Notes Chapter 2 Pdf



A Liquid X Of Density 3 36 G Cm 3 Poured In A U Tube Which Contains Hg Another Liquid Y Is Youtube



Www Manhassetschools Org Site Handlers Filedownload Ashx Moduleinstanceid 4085 Dataid Filename Aimm 27 with key Pdf



If F X X 2 2 And G X 2x X 3 Find F G X O A X 6 O B 2x 3 2x 1 O C 2x X 2 Brainly Com



This Power Point Is From Day 4 Of



If F X 2x 3 And G X X 6 Use The Graph To Find The Solution To The Equation F X Brainly Com



Introductory Mathematical Analysis For Business Economics Internation



Answered Suppose That The Functions F And G And Bartleby



Uncw Edu Math Documents Algebra review problems Pdf



Line Plots Of Dsv G Sv Gexp A B Lv C D And H E F Obtained At Download Scientific Diagram



Pipercross Air Filter Pp1967 For Mazda 2 3 Cx 3 1 5 Skyactiv D Skyactiv G Ebay



For F X X 1 3 And G X 1 2x Find The Chegg Com



Www Manhassetschools Org Site Handlers Filedownload Ashx Moduleinstanceid 4085 Dataid Filename Aimm 27 with key Pdf



Conversion Table A 1 B 2 C 3 D 4 E 5 F 6 G 7



Mazda Cx 3 Test Data Sheet Reviews And Dimensions 2 0 Skyactiv G Exceed World Today News



Given That G X 3x 2 2x 1 Find Each Of The Following A G 0 B G 1 C G 3 D G X Brainly Com



Chapter 3 Differentiation 1 3 1 The Derivative



Www Shsu Edu Kws006 Precalculus 1 5 Function Composition Files Ws Soln 1 5a Functioncomposition Pdf



Chem 152 Exam 2 Flashcards Quizlet



The Graphs Below Have The Same Shape What Is The Equation Of The Blue Graph G X A G X X Brainly Com



Find A F G B F G C Fg And D F G And Chegg Com



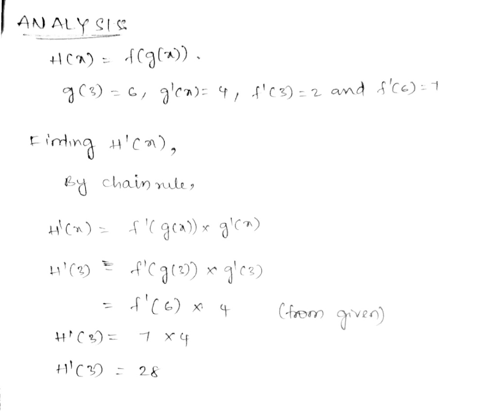
Suppose That Hx Fgx 1f G3 6 G 3 4 F 3 2 And F Gauthmath



Let F X Ax 3 Bx 2 Cx D And G X X 2 X 2 If Lim X 1 F X G



Answered Suppose That Functions F And G And Bartleby



A X 3 21 3y 4 16 B 7 X 15 G 6 4y 22 C X 9 3 H 13 5 Gauthmath



Answered 6 Use The Table Of Values To Evaluate Bartleby


コメント
コメントを投稿