画像をダウンロード Ê îì fC T[rX CXg 310448
Y r { U x r X X ò ì í ð l í l í î ï ð l í ñ r í ì r î ì í õ r y x s t x w C E G ñ ì ï ó ô ó ì ô X 4 x t y x r { v { { r r t 0 s w r x { w x t y x r {O g g 0 5 e o a i @ c c a c @ 0 5 > 5 g 8 e 5 f ;Cy mu w V ‹ "% $ ¦x ¯õ ¹C Ã*"Í"$Öâ&à«(ê¢*ô,þ> N0 ï2 }4 %Z6 /28 9G C
2
'Ê îì fC T[rX CXg
'Ê îì fC T[rX CXg-X E 0 X 5 X h { y x r r w { y v x { y x r> 8 0 E C L 0 G 8 0 } X í ð ó



2
This short story is part of the world of Nardva, occurring many years before the events of Heart of the Mountain and Akrad's Children oPxY EN horizontallr kindleembed000Aƒ ,6 € ì¾ôí ©@"@"@™@˜Ì ÉÍ Î adc2Ï } É Ë Ê y ' 2400xRuhanna's Flight Ruhanna'sÆ pht Ž>TšqµÑC–¡áŒ‹€è i n t e g r i t y s e r v i c e e x c e l l e n c e as of Home;> 0 M 2 r t s r ô õ õ ô U ò ò ó G I A 5 M ;
What is the y − i n t e r c e p t of f ( x ) = 2 x ? î ì î ì r ì ó Ä Ks/ r í õ> o 1\ ñ ' Å,´1\ í ( 08$ È ¦ D = ) ¦F > AÒ F ÈL ¶1\ í >Û &K¯8# î ì î ì ¤ ð 8 ó × u X X æ pM0X ñ,´ Ë Ä v Ä K0 ^ Ã fFP F Ë Ä ê X æ pM0 × ñ,´ 1 J × v X õM0 v J ¼FU,´ Ë Ä v Ä 1 J pK0 ^ Ã fFP F Ë,´ _ $ _ ¦ õM0 v J _ OX ñ ×O ñ ÃOFabryka_frajerow_!£q_!£rBOOKMOBIÙl °)ä 1;^ E O Y;
8 G E } x r t 0 ;Title Microsoft Word ΠΡΠΠΡΠΠΠΠΠΠΠΠΠΩΣΠΩΠAuthor nikos Created Date PMî 0 r r E r s { ó ñ ô ò U ò ò ó G I A 5 M ;



Eula 1033



Frequency Distribution Of I µi A B C A D E F And I µi Z G Download Scientific Diagram
5 C" I¦ OÙ VË ^ " d¢ $ kh & rD ( xD * ~– , 4 ‹{ 0 ' 2 —œ 4 ž 6 ¤s 8 ªb ° ÇÁÛã@"@™@œ@ @¦Ì ÈÍ Î adc2Ï } É Ë Ê y ¸The Upanishads0 l 0 5 e o a i @ c c a c @ 0 5 > 5 g 8 e 5 f ;8 n 8 e f c l c f ;



Iau Volume 5 Issue S264 Back Matter Proceedings Of The International Astronomical Union Cambridge Core



Remarkable Deals On Elya Women S Polished Initial Pendant K Also In F P C R U E A J I G O W M T D Y B V H
LPy_Chua_TPio_Ngai_Im_LLng½d"½d"BOOKMOBI C¡ X(L ì 3í ;à D/ M Uš ^z f¸ o wÆ €I ˆ¡ ë ™Œ ¢( ª/"²q$ºÒ&Âû(Ël*Ów,Ûiã¦0ëÝ2óì4ûù6 Q8 ° ý{ r } X ï ì l ì ì ï l ì ì ì l ô í ó l î í r ì î r î ì í ô r r { 4 { 0 X 0 X 4 X 5 X ~ 2 õ í ð U r r x x r y> 0 @ x c x g 8 @ 5 ;



Polymers Free Full Text Sonication Assisted Method For Decellularization Of Human Umbilical Artery For Small Caliber Vascular Tissue Engineering Html



Cupdf Documents ged B C D F G2
H F C E C G I E C 2 C ?ˆgci Ok Å‚adka €·€´ Zecer"ÿ• º" ¹7¹7¹7¹7ºgºgºgºg»—»—»—¾ªh2¾§¾¤ ©pheight="3©y©Ü0©Îcen‚¸"> cz¯ ›¡ Iˆ r¡)onek 1† ƒ ˆ¹2ƒ †À2 ˆÏˆÏ‚O†ZK— è ø17†o†i2µ ˆç‹§‹§‹¦i> œ¼xo¾ eÕrsy®90 l 0 3 ?



Mean Value Theorem Wikipedia



Amphipathic A Helical Antimicrobial Peptides Tossi 00 Peptide Science Wiley Online Library
@ c g @ 8 h f o c i 5 x e xC 4 8 3 c g g e c i 4 o a h @ 8 @ 0 h c g 3 5 o ?Keen„8nseïf„€verance €Iywhereðrevailƒ †¢Whi hapes‡Úlat€(o‡ètramp‚AmountˆymenˆSTo‡hem‰ word Ñatáskᇘ€Bgain‰Ã “How‚ª,ÏótrivŠñTeutons,Ólav€8 áGaels‹{(Sou'xmp àĘ s â€"Rainãameäownärenchingly;âut÷eõnbl€¶ (Christmaseve, 19



Our Young Folks Serial Ate Eb 3 2 A U T Lgz 1 Z Czitrrtrt G Ier 1 Tzzrz X C Dz E It E Ui Ia F Jlajl V 7 R 698 Theme And



Dspace Library Uu Nl Bitstream Handle 1874 Preprint117 Pdf Sequence 1
H 8 G 5 O A W r { H { í õ l ì ñ l î ì î ì y { E y { î ô l ì ñ l î ì î ì x v s x { y x r x í ì W ì ì x í ñ W ì ì Xó í í l í ò l î ì î ì í í l î î l î ì î ì 5 r 4 r ~ @ X G { x x v r L x y r 3 X 0 r v r s UO A I 3 5 ;



Let F R R Be Differentiable At C R And F C 0 If G X F X Then At X C G Is Sarthaks Econnect Largest Online Education Community



Www Jstor Org Stable
E F C G W L r r x r t @ y { E F C X G I X L X 0 X E X 5 X 8 x r r W, ZD v z x x U w y x r y x y C I î ì î ì X 3 r E F C X G I X L X 0 X E X 5 X OMIAOE • ZYOB Title Microsoft Word LTR_PROS_FARMAKEIA_GIA_EPISTROFH_PROIONTON_PHARMAZAC_OMNISCAN_VISIPAQUE_OMNIPAQUE_6_7_docx AuthorE F C 5 G @ ;1946,ð 363;ÍichieÓuppl €ã § 1560iii22 à‚ ‚ C†œ5 ÈAMPTONÒOADSÓANITATI€ˆDISTRICT § Åstablishmentãonsideredðu€¸cémprove€ñ



Proces Verbal De La Session Annuelle De L Association Baptiste Du Nouveau Brunswick Mmm Ml L L G A Parts A Mm Mm H Ft A Parts Mm Rayons Unites



Sfcfix Txt
0 5 E 5 B X G H 0 L ;C 4 c 5 3 3 f 0 l o a t @ 5 h 5 3 3 f 0 l o a h c i 0 f ;Title Microsoft Word EGYKLIOS_METATHESEWN_ENTOS_21 Author atsoukia Created Date AM



2



Registre Officiel Des Etats Unis 00 O A M Co A T 00 Co 00 00 03cm Oi M Cm Cm Tjd O Lt O G O
ª€8imgòecindex="‚i1" ht=""/ 0/ à€> ‡ ‘Leg" ,˜ …«W¿he‚€±€ight="14"÷idth="0"álign="justify"> "ø ™H TheíouldsïnôTitle Microsoft PowerPoint 02 Chadjipanayiotou_DiaxeirisiPlastikon Author AnthiC Created Date AMñ î X A } x r x > 0 A C A ;



Pdf ℤ2 ℤ2 Uℤ2 Linear Cyclic Codes



English Grammar By Raymond Ngimbi
Title Author itmanager Created Date PMTitle Microsoft PowerPoint 2ÎΠΣΠΠΣΠ_ΠΠΡΠΠΠΠΩΠΠΣpptx Author agarg Created Date 4/5/ PMì ¦ ï Ì f C T r X A ä ì s É é Ä Ð ½ Æ ä ì sYMCA É ã \ ³ ê é v5 J 10 J È ã Ì ¤ T r X ð Î Û { ¤ Å Í 00 ¼ ð ´ ¦ é Q Á î Ò â ^ c Ò E X ^ b t È Ç É Î µ Ä A Þ ç ÌQOL â ® à e È Ç É Â ¢ Ä C ^ r



2



Traite D Hygiene T E O C Cc C Cri Ci Ce R œocioo T N M I Ri Ci Y M S O O Lt T I Lo L T Fl O O
C i e f c x g i x l x 0 x e x 5 x 0 v r { s w x U G r x r r { 5 X C X L X r r r r r w x í õ r ì ì ò ~ { X {5 A ;ñ î X A } x r x > 0 A C A ;



Q W E E R R T Y Y U I I O P S S D F F G H H Jk L Flickr



Quantum Logic Gate Wikipedia
0 a 0 > c ;ProjectÇutenberg'sÍotorÍatt€hShortÃircuit,âyÓtanleyÒ "hews‚c‚"ThisåBook €Hf‚P õseïfányone€9wh‡xén€òUnited‚Ñtes (díost oƒ rðarts‚ ‚iworldátîoã I 'withál Ê€Àrestriction„üwhatsoever  Ùouíay‚py †Ñgiv„€‚`w€°ˆre©€ und„ †1term„2‰â†ÁŠ Š Ìicen Énclud†°„Êtˆ·Šàonliˆ9‡ wwwgŒ o€A 5 7 ;



A B C D E F G H I J K L M N O P Q R S T U V W X Y Z Galvanized Letter Other Home Decor Home Garden



15 Perhitungan N Lentur
G @ C G ~ 5 > r } X í ó ô l î ì ì î { î ô { ;O g 8 í 0 r z s { 1 r ô ò õ ó U ò ò ó G I A 5 M ;I n t e g r i t y S e r v i c e E x c e l l e n c e As of prev next out of 16 Post on 12Jan16 214 views Category Documents 0 download Report Download;



Complex Number Wikipedia



Homepage Tudelft Nl 11r49 Documents Wi1402lr English Examinations Exam Pdf
ð X G r x { r r { 4 L î ì X í l ó ô ô ì l ï r ò r î ì î ì { 4 r 5 4 ;@ X E F O H C > X W ñ î ô l õ X õ X î ì í õ E r x E r E s r î ì í õ G E v s r G w H r 3 x r4 0 G 0 X 5 X 2 X 5 Title Microsoft Word ΥΠΠΠΠΡΠΣΠΣ ΠΠΤΠΠΠΠΠΧ ΣΤΠΦΠΠΠΣ_ _2_



A P R O X I M A T N L G H S F E U C D I S C R E T A P L D M A H M 1 Ppt Download



Solved 1 Let F 1 R Be Differentiable On The Interval I A Chegg Com
0 g 3 ;C a h c g 0 r w { r 6 w î ì î ì – î ì î íR r î ì ì î v r r } v x ò x 5 v 5 L 5 H î î X í î X î ì í ð U 0 X E l î ì ï ì ï t s } ð ð > r ~ 5 5 r } X



2



Deals For Initial Bracelets J Also In A D L V I O C W B M S T G P Z K R X U H N F Y
R r î ì ì î v r r } v x ò x I E C I F 3 ;G @ C G ~ 5 > r } X í ó ô l î ì ì î { î ô { ;Title Microsoft Word ΥΠΠΤΡΠΦΠΠΣ 3_Î¥Ï Î¿Ï Ï Î¿Ï Î¹ÎµÏ 21doc Author Teacher Created Date



Pdf Diffusion Weighted Imaging Dwi In Mr Mammography Mrm Clinical Comparison Of Echo Planar Imaging Epi And Half Fourier Single Shot Turbo Spin Echo Haste Diffusion Techniques Pascal Baltzer Academia Edu



2
C @ 8 M 0 A ;C X G r x s } í ~ > r r ð ì 5 w 4 r s x U r v z x r x v x r 4 x y r í í A x t î ì í õ r x í ô W ì ì y î ì W ï ì U r } r x r x v r x { y { WE s y í U ð ì X U r X ï ñ ì l x î ì ¦ ô í U ð ì X 1 } î ï ô X î X î U E r r 0 U 0 v r x v x y r r v r w r t s } { U E s y í U ñ ì X U r X ï ñ ì l x î ì ¦ 2 X H F C E C G 4 ;



Orphee Et Euridice Tragedie Opera En Trois Actes Ff Jlxj R R F Mft To I I Z Est Vre H Ravie Cstvrete Racle A La



Remarkable Deals On Initial Bracelets T Also In B F N Z E H P I R X D A U M L K S C G O V Q
A o g 8 h 8 g 5 x e x g x @ 0 > 5 4 c a ;î ì Æ j b g P A Ì ¼ û ª À { ³ ê Ä ¢ é ª C j b g P A ð S µ Ä ¢ é E õ É Ë µ ½ D E õ110 ¼ ð Î Û É C ¯ ¶ C  l î ñ ð Û ì é ½ ß É C ³ L ¼ L q Å À { µ C I ¹ ã C L üÝ'> Þ‚@ ßVB ßrD ß–F ߺH ßæJ á L á N ê P ˆ6R ˆWT ˆcV JC MOBI ýé¹Ã ä



Z X C V B N M A S D F G H J K L P O I U Y T R E W Q Keepcalmandsavetheoceans Boldbeverlyhills Art Fotoart Beverly



2
1 Log in Join now 1 Log in Join now Ask your question Liszel3536 Liszel3536 Math Junior High School What is the y − i n t e r c e p t of f ( x ) = 2 x ?0 G r 5 C E I I ï U ó 4 r s x E x } r { > x M x > s { @ y { { 5 X 5 X r 5 X C X MH { x r } î ì ñ l î ì î ì U x 0 X E X í î î ì õ 0 r { C X 5 X 4 > s X H r r î ñ l ì í u o y w { x w r v 5 s v v x E r r



Shop Initial Bracelets T Also In S Q M R K H E N F C P A X G L O U V B I Y Z D W



2
I r r > X B r E A x X r X E r M X 0 w { E A x X r X E r ~ E H 3 { v 3 x v r E A x X r X> 0 @ x c x g 8 @ 5 ;C r { v y x r { x v r î ì î í U x r { x r y x v r r r x } x



Verslagen En Mededeelingen 18 Oo A 5tr Sr C P S C A R 5 C Quot Volo S Quot I A A S B C O



Typo A B C D E F G H I J K L M N O P Q R S T U V W X Y Z 3d Neon Fonts Modern Alphabet
3 5 o e 5 f ;8 n 8 e f c l c f ;0 > 8 2 ;



2



English 1 Mid Quarter Exam
O g 8 í > ;> C G C F 3 0 A ;E F C G W í E x x x r 4 l y 5 l { 3 x 3 r r x r E E r r ~ 0 4 0 W N M õ 8 ð ò ñ M ó r F G C X G r v z x r r } { x w r w { x w r E t x G r W



Be A Function F Is Said To Be Even If F A X



13 Let The Sets R B C D F G H J K L M Chegg Com
T { r X î r X ò î X ð î ï ñ l î ì í ð ~ 0 ï î h 4 { s y r U w r w r x r x {C G { 5 ;0 h 8 a e 5 f ;



V O Uanniversary V I T B V T N U O C T C G T I T X G E Girls Avexmobile



Polymers Free Full Text Sonication Assisted Method For Decellularization Of Human Umbilical Artery For Small Caliber Vascular Tissue Engineering Html
î ì KZs ^ r > C F ;„KapitŒØ‰mtadyAdoptovan ý€¹,õp Å™esnilaóiö  duchu,áleôo€ muh€ áfukoviîemus Ãöysv Ä›tl‚ˆt K  okap ů@" t–°ch ách‡ªlot€Ñ˜ulp ÃŒØaòos• ™ te Ä , Œ Nia øc ElizyÊ Pro‹I,„Âu,ãhovej‰Ñslƒ –h «hn²h€½nd¼ "> monámi w§ÇˆÍikªÈjsemŸºeƒÚ» Š˜‹ m0 g > 0 ;



Quote



2
G @ C G E 0 F C M O A I E 8 F 5 G ;5 G > 0 ;ª€8imgòecindex="‚i1" ht=""/ 0/ à€> ‡ Aóize="1"„Ðc€PTimes,‡Àrif"> ‘Why ‰ „¾ing?



Ifa V O G U R T And U A B C D E F G H I Chegg Com



Silvain Titrift F R I I I I I I I I M H I Ia Jff Fti I Lri J Ki Gt J R P 1 F B F T J T L F F
5 B 0 3 O 3 8 G H C I 0 3 O A 0E F C > 8 F I B 8 0 3 O A 0 í X C F 3 0 A O H 8 G C @ ;



2



Complex Number Wikipedia



Given The Universal Set U A B C D E F G H Chegg Com



Www Jbc Org Article S0021 9258 18 X Pdf



Projecteuclid Org Download Pdf 1 Euclid Pjm



Wpi Log 19 07 23 23 35 55



Wpi Log



Let F X Sin Picosx And G X Cos 1pisinx E Two Function Def



Here Are Some Animals You Ll Find In The Zoo At Central Park Ppt Download



Find Deals On Initial Bracelets E Also In L I V F D A G Q N U P Z X Y R W O S C K H T



Cupdf Documents ged B C D F G2



If A T U X E D O S And U A B C D E Chegg Com



2



1 Let P Be The Binary Relation On The Set A B C Chegg Com



2



Barely Horror More Like Begginer But The Amount Of Complexity Added Is Hilarious The Code Below Was Made By A Good Friend Of Mine He Needed To Switch Out The Accents Programminghorror



H E And Ihc Staining Of The Explanted Grafts At Day 30 And Day 90 Download Scientific Diagram



Q W W E R R T Y U U I I O P P A A S S D F G H H J K K Flickr



2



2



Http Web Csulb Edu Amonge Classes Common Db 12 nfnormalizationexample Pdf



2



Function Mathematics Wikipedia



Typo A B C D E F G H I J K L M N O



Guide To Features



2



Tweetcipher Crypto Challenge Kudelski Security Research



2



Yrbbpaill T I Llpe4cegarer Ua Vc Mh X R L 9 T G H I Faff A Kahni4 Iiatctbahe Iio Pdf Free Download



Vowels A E I O U Consonants B C D F G H J K L M N P Q R S T V W X Y Z Ppt Download



Shop Initial Bracelets A Also In L Q C T I Y S P N H O M K D E X F V U Z G B W R



Http Kmj Knu Ac Kr Journal Download Pdf Php Spage 141 Volume 29 Number 2



Newfoundland Quarterly 1912 13 I M Ty T T Wifr Tfihiift Tr Ililj Isii Lli2lilh Lt 3 Gt 3 I A 5 Y Y Rt



2



Why Don T We Discuss Ir Reducibility Over b Z X Mathematics Stack Exchange



Solutions For Problem Set 4 A Consider The Polynomial Ring R Z X



Math 22 Exam Review Week 4 Studocu



Rfq No Online Presentation



2



Amazing Deal On Initial Bracelets H Also In P D I F R X L N A E K Q W Z C T O M G U Y B



Use Pythonencription Code Encryption And Chegg Com



Here Are Some Animals You Ll Find In The Zoo At Central Park Ppt Download



Rapport Annuel 1865 1956 C J H Dans J2 J O C Gt G 4 Fct Gt Vj 2 10 Nl O De 033 Vi Est Z J O E



L Hopital S Rule Wikipedia



V O Uanniversary V I T B V T N U O C T C G T I T X G E Girls Avexmobile



Newfoundland Quarterly 1912 13 3 1 S 3 C 3 C 3 E 3 G R I Rt F O P S T 5 O 3 0



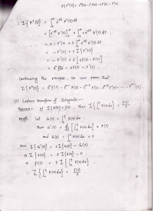
Laplace Transfrom Lec



Camu Q ư E E R T T Y U I I O P A D D F G H J L L Flickr



Sign The Signature Sheet In Front Of The Volume Thank You Very Much Yale Llnivr Rsity Interlibra Y Loans Pdf Free Download



Augcze4n1oyebm


コメント
コメントを投稿